GOVERNO DO ESTADO DE GOIÁS

Gabinete Civil da Governadoria
Superintendência de Legislação.


LEI Nº 15.651, DE 11 DE MAIO DE 2006.
Notas:
1.  Por força do art. 1º da IN 803, de 29.06.06, com vigência a partir da mesma data, na impossibilidade do órgão fazendário competente concluir, dentro do horário de expediente do dia 28 de junho de 2006, o atendimento ao contribuinte que comparecer à repartição fazendária, com a finalidade de aderir ao Programa de Recuperação de Empresas, de que trata esta Lei, deve ser emitido o documento de arrecadação que permita ao contribuinte efetuar o pagamento à vista ou da primeira parcela até o dia 29 de junho de 2006, observado o disposto no § 1º do art. 4º da Instrução Normativa nº 795/06-GSF, de 12 de maio de 2006.
2.  Por força do art. 15 da Lei nº 15.761, de 28.08.06, com vigência a partir de 28.08.06, ficam convalidados os pagamentos de crédito tributário do ICMS efetuados nos termos do § 2º e o art. 3º e do art. 4º, desde que realizados até 29 de junho de 2006.

 

Dispõe sobre a concessão de redução na multa, no juro de mora e na atualização monetária no pagamento de crédito tributário do ICMS nas situações que especifica.

A ASSEMBLÉIA LEGISLATIVA DO ESTADO DE GOIÁS, nos termos do art. 10 da Constituição Estadual, decreta e eu sanciono a seguinte Lei:

Art. 1º Fica permitido aos contribuintes quitar de forma facilitada débitos para com a Fazenda Pública Estadual relacionados com o Imposto sobre Operações Relativas à Circulação de Mercadorias e sobre Prestações de Serviços de Transporte Interestadual e Intermunicipal e de Comunicação - ICMS.

Parágrafo único. Para os efeitos desta Lei, considera-se crédito tributário favorecido o montante obtido pela soma dos valores do tributo devido, da multa reduzida, inclusive a de caráter moratório, dos juros de mora reduzidos e, se for o caso, da atualização monetária reduzida, apurado na data do pagamento à vista ou da primeira parcela.

Art. 2º A forma facilitada para quitação de débitos compreende a:

I - redução do valor de juros e multa, inclusive a de caráter moratório em até 98% (noventa e oito por cento);

II - redução do valor da atualização monetária, desde que efetue o pagamento à vista ou da 1ª (primeira) parcela até 29 de maio de 2006, nos seguintes percentuais:

a) 50% (cinqüenta por cento) para pagamento à vista;

b) 40% (quarenta por cento) para pagamento em 2 (duas) parcelas;

c) 30% (trinta por cento) para pagamento em 3 (três) parcelas;

d) 20% (vinte por cento) para pagamento em 4 (quatro) parcelas;

e) 10% (dez por cento) para pagamento em 5 (cinco) parcelas;

III - permissão para que seja pago em até 60 (sessenta) parcelas mensais, iguais e sucessivas, com exceção da primeira parcela que tem valor diferençado, desde que o pagamento da última parcela não ultrapasse o mês de julho de 2011;

IV - permissão para que o pagamento da parte não litigiosa seja realizado com os benefícios previstos nesta Lei;

V - permissão para que o sujeito passivo, ante a existência de mais de um processo relativo a crédito tributário, efetue tantos parcelamentos quantos forem de seu interesse.

Art. 3º Os benefícios de que trata esta Lei alcançam todos os créditos tributários do ICMS, cujo fato gerador ou a prática da infração tenham ocorrido até 28 de fevereiro de 2006, inclusive aquele:

I - ajuizado;

II - objeto de parcelamento, observado o disposto no § 1º;

III - não constituído, desde que venha a ser confessado espontaneamente;

IV - decorrente da aplicação de pena pecuniária;

V - constituído por meio de ação fiscal, após o início da vigência desta Lei.

§ 1º O disposto neste artigo não se aplica ao crédito tributário que tenha sido objeto de parcelamento concedido com os benefícios das Leis nº 14.427, de 19 de maio de 2003, 14.903, de 31 de agosto de 2004, e 15.012, de 23 de novembro de 2004, exceto se ocorreu a denúncia do parcelamento até 30 de março de 2006.

§ 2º Os créditos tributários de ICMS decorrentes exclusivamente de penalidade pecuniárias, por descumprimento de obrigações acessórias, cujos fatos geradores tenham ocorrido até 28 de fevereiro de 2006,  poderão ser pagos com redução de 90% (noventa por cento) do seu valor, se integralmente recolhidos até 27 de junho de 2006.

NOTA: Por força do art. 15 da Lei nº 15.761, de 28.08.06, com vigência a partir de 28.08.06, ficam convalidados os pagamentos de crédito tributário do ICMS efetuados nos termos deste parágrafo, desde que realizados até 29 de junho de 2006.

§ 3º No caso de infração relativa à destruição, ao desaparecimento, à perda ou ao extravio de livro, documento ou equipamentos fiscais, cujo lançamento ainda não tenha sido efetuado, a comprovação de que a respectiva infração tenha ocorrido até o dia 28 de fevereiro de 2006 é feita por meio de publicação em jornal cuja circulação tenha acontecido até a referida data.

Art. 4º O sujeito passivo interessado em quitar débitos com as facilidades previstas no art. 2º deve efetuar o pagamento à vista ou da 1ª (primeira) parcela até 27 de junho de 2006.

NOTA: Por força do art. 15 da Lei nº 15.761, de 28.08.06, com vigência a partir de 28.08.06, ficam convalidados os pagamentos de crédito tributário do ICMS efetuados nos termos deste artigo, desde que realizados até 29 de junho de 2006.

Art. 5º O crédito tributário favorecido somente é liquidado com pagamento em moeda corrente ou em cheque, nos termos da legislação tributária estadual.

Art. 6º Na redução da multa e dos juros de mora, para o caso de pagamento parcelado, aplica-se o percentual discriminado na Tabela Anexo Único desta Lei, de acordo com o número de parcelas.

§ 1º O percentual previsto na Tabela Anexo Único desta Lei fica substituído pelo percentual previsto no inciso I do art. 2º, para o parcelamento de crédito tributário favorecido cujo vencimento da última parcela não ultrapasse a data de 26 de dezembro de 2006.

§ 2º O sujeito passivo perde o direito, exclusivamente no mês da ocorrência, à prerrogativa mencionada no § 1º, sem prejuízo do disposto no art. 13, se o pagamento de qualquer das parcelas ocorrer após a data do respectivo vencimento.

Art. 7º Sobre o crédito tributário favorecido incidem juros de 0,5% (cinco décimos por cento) ao mês e atualização monetária estimada de 0,5% (cinco décimos por cento) ao mês.

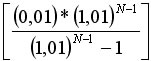
§ 1º O valor fixo das parcelas é obtido por meio da multiplicação dos coeficientes constantes da Tabela Anexo Único desta Lei pelo valor de crédito tributário favorecido diminuído da primeira parcela.

§ 2º O valor de cada parcela não pode ser inferior a R$ 200,00 (duzentos reais).

§ 3º A utilização do índice de atualização monetária estabelecido no caput é definitiva, não cabendo complementação ou restituição na ocorrência de eventuais diferenças.

Art. 8º A adesão aos benefícios de que trata esta Lei:

I - exclui a utilização da redução da multa prevista no art. 171 do Código Tributário do Estado de Goiás, instituído pela Lei nº 11.651, de 26 de dezembro de 1991;

II - não suspende a aplicação das normas comuns para concessão de parcelamento previstas na legislação tributária;

III - implica confissão irretratável da dívida por parte do sujeito passivo e a expressa renúncia a qualquer defesa ou recurso, bem como desistência em relação aos já interpostos.

Parágrafo único. A adesão considera-se formalizada com o pagamento à vista ou da primeira parcela.

Art. 9º O parcelamento do crédito tributário favorecido pode ser renegociado, a qualquer tempo, com vistas à alteração do prazo, hipótese em que a renegociação:

I - deve ser feita tomando por base o saldo devedor do parcelamento, sendo definitivas as parcelas já quitadas que não podem ser objeto de alteração;

II - implica a alteração do percentual de redução para pagamento parcelado, aplicando-se o percentual de redução previsto para o número de parcelas em que for renegociado o remanescente.

§ 1º Na hipótese de pagamento à vista do remanescente de débito oriundo de parcelamento efetuado com os benefícios desta Lei, deve ser concedido o redutor previsto no inciso I do caput do art. 2º, desde que o parcelamento não esteja denunciado.

§ 2º Na hipótese de haver dilação de prazo, o pagamento da última parcela não pode ultrapassar o mês de julho de 2011.

Art. 10. O vencimento das parcelas ocorre no dia 25 (vinte e cinco) de cada mês, excetuado o da primeira que deve ser paga na data da efetivação do pedido de parcelamento.

Art. 11. Tratando-se de débito em execução fiscal, com penhora ou arresto de bens efetivados nos autos, ou com outra garantia, nos termos do art. 9º da Lei federal nº 6.830, de 22 de setembro de 1980, a concessão do parcelamento fica condicionada à manutenção da garantia.

Art. 12. Na hipótese de débito ajuizado, deve ser pago em moeda corrente ou em cheque, nos termos da legislação tributária estadual, juntamente com a liquidação à vista ou da 1ª (primeira) parcela, a título de honorários advocatícios, o valor correspondente à aplicação do percentual de 3% (três por cento) sobre o valor do crédito tributário favorecido, ficando dispensada a comprovação do pagamento de despesas processuais.

Art. 13. O parcelamento fica automaticamente denunciado, situação em que o sujeito passivo perde o direito, relativamente ao saldo devedor remanescente, aos benefícios previstos nesta Lei a partir da denúncia, se, após a assinatura do acordo de parcelamento e durante a sua vigência, ocorrer ausência do pagamento, por mais de 90 (noventa) dias, a contar da data do vencimento de qualquer parcela.

§ 1º Fica, também, automaticamente denunciado o parcelamento se, após a assinatura do acordo de parcelamento e durante a sua vigência, ocorrer ausência do pagamento de 3 (três) meses sucessivos ou não do ICMS lançado em livro próprio, cujo fato gerador:

I – tenha ocorrido a partir da efetivação do parcelamento;

II - objeto de parcelamento anterior, tenha ocorrido a partir de 1º de janeiro de 2006.

§ 2º Denunciado o parcelamento o pagamento efetuado deve ser utilizado para a extinção do crédito tributário de forma proporcional a cada um dos elementos que compõem o crédito.

Art. 14. Fica dispensado o pagamento de crédito tributário do ICMS, constituído ou não, referente a fato gerador ocorrido no período compreendido entre 1º de maio de 2002 e 31 de dezembro de 2004, relativo à parcela da subvenção da tarifa de energia elétrica estabelecida pela Lei nº 10.604, de 17 de dezembro de 2002, no respectivo fornecimento a consumidores enquadrados na “subclasse Residencial Baixa Renda”, de acordo com as condições fixadas nas Resoluções da ANEEL nos 246, de 30 de abril de 2002, e 485, de 29 de agosto de 2002.

Art. 15. Ficam convalidados os pagamentos realizados:

I - pelo industrial de produtos oleaginosos, nos termos e nos prazos da Lei nº 15.573, de 23 de janeiro de 2006;

II - até 28 de abril de 2006, nos termos da Lei nº 15.638, de 26 de abril de 2006.

Art. 16. Fica o Secretário da Fazenda autorizado a baixar os atos necessários à implementação desta Lei.

NOTA: A Instrução Normativa nº 795/06, de 12.05.06, DOE de 17.05.06, com vigência a partir de 17.05.06, dispõe sobre os procedimentos destinados à implementação da redução da multa, dos juros de mora e da atualização monetária e do parcelamento previstos nesta Lei (Lei nº 15.651/06).

Art. 17. Esta Lei entra em vigor na data de sua publicação.

PALÁCIO DO GOVERNO DO ESTADO DE GOIÁS, em Goiânia, 11 de maio de 2006, 118º da República.

ALCIDES RODRIGUES FILHO
Oton Nascimento Júnior

(D.O. de 11-05-2006) - Suplemento

 

TABELA ANEXO ÚNICO

PERCENTUAL DE REDUÇÃO DA MULTA E  DOS JUROS DE MORA E COEFICIENTE DE CÁLCULO DO VALOR DAS PARCELAS A PARTIR DA 2ª EM FUNÇÃO DO NÚMERO DE PARCELAS

Nº Parcelas

N

Percentual de redução da multa e dos juros de mora

COEF. CALCULO DAS PARCELAS

(TABELA PRICE)

Nº Parcelas

N

Percentual de redução da multa e dos juros de mora

COEF. CALCULO DAS PARCELAS

(TABELA PRICE)

02

97,3939

1,010000000

32

83,9091

0,037675731

03

96,7980

0,507512438

33

83,6162

0,036670886

04

96,2121

0,340022111

34

83,3333

0,035727438

05

95,6364

0,256281094

35

83,0606

0,034839969

06

95,0707

0,206039800

36

82,7980

0,034003682

07

94,5152

0,172548367

37

82,5455

0,033214310

08

93,9697

0,148628283

38

82,3030

0,032468049

09

93,4343

0,130690292

39

82,0707

0,031761496

10

92,9091

0,116740363

40

81,8485

0,031091595

11

92,3939

0,105582077

41

81,6364

0,030455598

12

91,8889

0,096454076

42

81,4343

0,029851023

13

91,3939

0,088848789

43

81,2424

0,029275626

14

90,9091

0,082414820

44

81,0606

0,028727371

15

90,4343

0,076901172

45

80,8889

0,028204406

16

89,9697

0,072123780

46

80,7273

0,027705046

17

89,5152

0,067944597

47

80,5758

0,027227750

18

89,0707

0,064258055

48

80,4343

0,026771110

19

88,6364

0,060982048

49

80,3030

0,026333835

20

88,2121

0,058051754

50

80,1818

0,025914739

21

87,7980

0,055415315

51

80,0707

0,025512731

22

87,3939

0,053030752

52

79,9697

0,025126805

23

87,0000

0,050863718

53

79,8788

0,024756033

24

86,6162

0,048885840

54

79,7980

0,024399557

25

86,2424

0,047073472

55

79,7273

0,024056583

26

85,8788

0,045406753

56

79,6667

0,023726373

27

85,5253

0,043868878

57

79,6162

0,023408244

28

85,1818

0,042445529

58

79,5758

0,023101559

29

84,8485

0,041124436

59

79,5455

0,022805727

30

84,5253

0,039895020

60

79,5253

0,022520195

31

84,2121

0,038748113

     

Este texto não substitui o publicado no D.O. de 11-05-2006.