|
Regulamenta a concessão das Gratificações de Estímulo Funcional -GEFs- instituídas pelas Leis nos 15.558, de 16 de janeiro de 2006
e 15.648, de 09 de maio de 2006, com alterações posteriores.
O GOVERNADOR DO ESTADO DE GOIÁS, no uso de suas atribuições constitucionais e tendo em vista o que consta do Processo no 201400009001559,
D E C R E T A:
CAPÍTULO I
DISPOSIÇÕES GERAIS
Art. 1º Este Decreto estabelece normas para a concessão das Gratificações de Estímulo Funcional -GEFs- instituídas pelas Leis nos
15.558, de 16 de janeiro de 2006, e
15.648, de 09 de maio de 2006, alteradas pela Lei nº
18.559, de 26 de junho de 2014.
Art. 2º A Gratificação de Estímulo Funcional é destinada a compensar e estimular, no desempenho de suas atribuições, os servidores ocupantes de cargos de provimento efetivo, em comissão e empregados públicos, lotados na Secretaria de Estado de Indústria e Comércio ou à sua disposição e remunerados em sua folha de pagamento.
Art. 3º A Gratificação de Estímulo Funcional será concedida mensalmente, de acordo com a pontuação obtida na Avaliação de Desempenho Individual –ADI – aplicada semestralmente, a qual se baseia em indicadores de desempenho.
§ 1º As GEFs compõem a base de cálculo do 13º (décimo terceiro) salário e do adicional de férias.
§ 2º O resultado das avaliações processar-se-á no mês subsequente ao término do ciclo de apreciação, sendo que o efeito financeiro ocorrerá por 6 (seis) meses, a partir do segundo mês após o término do referido ciclo.
Art. 4º O valor concedido a título de Gratificação de Estímulo Funcional será conforme a pontuação obtida na Avaliação de Desempenho Individual -ADI-, nos termos deste Decreto.
Art. 5º Os servidores relotados internamente serão avaliados pela chefia imediata atual e tal avaliação valerá para o ciclo completo.
§ 1º Para fins do disposto no caput deste artigo, após a divulgação do plano de ação previsto no inciso I do art. 26 deste Decreto, nenhum servidor poderá ser relotado internamente.
§ 2º Os servidores que ingressarem na Secretaria de Estado de Indústria e Comércio obedecerão à carência mínima de um ciclo completo de Avaliação de Desempenho Individual.
§ 3º Após a divulgação do plano de ação, os servidores deverão programar suas férias de maneira a permitir que, durante o ciclo de avaliação, os formulários sejam preenchidos em tempo hábil.
Art. 6º Terão direito à Gratificação de Estímulo Funcional os servidores efetivos, comissionados e empregados públicos no desempenho de suas atribuições, considerando-se também para esse fim apenas os afastamentos em razão de férias, luto, licença-paternidade, licença-maternidade, casamento e licença para tratamento da própria saúde, sendo este último limitado a 120 (cento e vinte) dias.
Parágrafo único. Nas hipóteses de afastamentos previstos no caput deste artigo, considerar-se-á o valor da Gratificação referente à última avaliação realizada.
Art. 7º A Gratificação de Estímulo funcional não será devida:
I – aos investidos nos cargos integrantes da estrutura básica ou complementar, excetuados os ocupantes de cargos de provimento em comissão de Supervisor A, B e C;
II – aos que percebem sua remuneração pelo regime de subsídio constitucionalmente previsto para os agentes políticos e para os ocupantes de cargos efetivos organizados em carreira, também remunerados pelo mesmo sistema;
III – aos servidores e empregados públicos à disposição de outros órgãos com ônus para a Secretaria de Estado de Indústria e Comércio.
CAPÍTULO II
DA AVALIAÇÃO DE DESEMPENHO INDIVIDUAL PARA A CONCESSÃO DA GRATIFICAÇÃO DE ESTÍMULO FUNCIONAL
Seção I
Da Avaliação e seus Objetivos
Art. 8º Fica instituída a Avaliação de Desempenho Individual -ADI- como instrumento de aferição do mérito do servidor e do empregado público no desempenho das atribuições de seu cargo ou função, com foco em competência e produtividade, tendo como objetivos primordiais:
I – aumentar o comprometimento para o alcance dos resultados definidos pela Administração estadual;
II – reconhecer e valorizar o desempenho eficiente por meio de estímulo à produtividade e ao aprendizado contínuo;
III – fornecer subsídios à gestão da política de gestão de pessoas.
Art. 9º Para efeito de aplicação do disposto neste Decreto, ficam definidos os seguintes termos:
I – mapeamento: etapa de identificação e de definição das funções dos servidores e empregados públicos da SIC, bem como seu grau de complexidade e responsabilidade;
II - avaliação: ato de medição e atribuição de valor às ações desenvolvidas pelo servidor na execução de suas atividades, a partir de critérios predefinidos;
III – desempenho: conjunto de fatores e características da atuação profissional do servidor;
IV – competência: agrupamento de conhecimentos, habilidades e atitudes que afetam parte considerável da atividade do servidor ou empregado, relacionada com seu desempenho, medido este por padrões preestabelecidos que podem ser melhorados por meio de treinamento e desenvolvimento;
V – função: conjunto de atribuições, atividades e responsabilidades referentes à execução de um processo de trabalho na SIC;
VI – grupo: conjunto de funções com similaridade de complexidade no desempenho das atividades identificadas nas diversas áreas da SIC;
VII – indicador de desempenho: unidade mínima de verificação de desempenho em um fator de competência;
VIII – ciclo de avaliação: período de tempo no qual o desempenho do servidor será avaliado pela chefia imediata;
IX – ciclo de apreciação: momento posterior ao término do ciclo de avaliação, no qual é realizado o preenchimento dos formulários do processo de avaliação;
X – feedback: informação a respeito do desempenho do servidor avaliado, passada pela chefia imediata, apontando os pontos fortes e ressaltando os aspectos que devam ser melhorados;
XI – chefia imediata: superior diretamente ligado ao servidor, ou seja, ocupante de unidade básica, complementar ou presidente/coordenador de Comissão devidamente constituída por ato do Secretário de Estado de Indústria e Comércio, sendo necessariamente esta a única atribuição do servidor;
XII – subordinado: servidor que responde diretamente ao ocupante de unidade básica, complementar ou presidente/coordenador de Comissão Permanente devidamente constituída por ato do Secretário de Estado de Indústria e Comércio, desde que esta seja a única atribuição do referido servidor;
XIII – pares: equipe de trabalho em que o servidor está inserido e com a qual precisa se relacionar na prática de suas atribuições.
Seção II
Da Comissão
Art. 10. Fica instituída a Comissão Intersecretarial de Avaliação de Desempenho Individual – CIADI-, composta por 5 (cinco) membros a seguir definidos:
I – 4 (quatro) representantes da Pasta em questão dentre os quais um será designado como presidente e outro como vice-presidente;
II – 1 (um) representante da Secretaria de Estado de Gestão e Planejamento – SEGPLAN.
§ 1º A CIADI terá 3 (três) suplentes, sendo 2 (dois) indicados pela SIC e 1 (um) pela SEGPLAN, os quais substituirão os titulares da Comissão em seus afastamentos ou impedimentos legais.
§ 2º A SIC deverá dar publicidade aos atos de composição da Comissão.
§ 3º Os membros da CIADI serão designados em portaria intersecretarial e realizarão suas atividades sem prejuízo das respectivas atribuições.
§ 4º Os membros da CIADI serão preferencialmente ocupantes de cargos de provimento efetivo e deverão possuir escolaridade de nível superior.
§ 5º Os trabalhos da CIADI realizar-se-ão quando estiverem presentes, pelo menos, o seu presidente mais 2 (dois) membros, devendo um deles ser representante da SEGPLAN.
§ 6º As decisões finais da CIADI serão tomadas quando estiverem presentes todos os membros.
§ 7º Nenhum membro da CIADI pode participar de decisão de recurso próprio, em que for avaliador, ou daquele em que o impetrante seja seu cônjuge, parente, consanguíneo ou afim em linha reta ou colateral até o terceiro grau, na forma da legislação vigente.
§ 8º Na situação referida no § 7º, o membro da CIADI é substituído pelo suplente.
Seção III
Do Modelo de Avaliação
Art. 11. A Avaliação de Desempenho Individual será composta pela Avaliação Comportamental (Anexos II a V), com foco em competências de múltiplas fontes, também conhecida como de 360º (trezentos e sessenta graus), em que várias pessoas respondem à avaliação de um mesmo servidor e pela Avaliação de Produtividade (Anexo VII deste Decreto), ficando definidos os seguintes termos:
I – enquadramento: etapa em que o servidor é classificado em um dos grupos ocupacionais, conforme mapeamento de funções conduzido pela Gerência de Gestão de Pessoas e validado pela chefia imediata;
II - autoavaliação: processo em que o servidor avaliará o seu próprio desempenho;
III – avaliação de subordinados: processo em que a chefia imediata avaliará o servidor sob sua liderança no desempenho de suas atribuições;
IV – avaliação da chefia imediata: processo em que o servidor avaliará seu chefe imediato no desempenho de suas atribuições;
V – avaliação de pares: processo em que o servidor avaliará os demais que compõem sua equipe de trabalho ou aqueles com os quais ele precise se relacionar no desempenho de suas funções, sendo, no mínimo 3 (três) e no máximo 5 (cinco) avaliadores por servidor;
VI – feedback: momento em que o chefe imediato dará um retorno ao seu liderado sobre o resultado da avaliação, enfatizando os fatores de excelência e as oportunidades de melhorias do servidor, identificados durante o processo avaliatório.
Parágrafo único. Fica resguardado o sigilo total das notas atribuídas pelo avaliador ao avaliado, sendo pública apenas a nota final do resultado do processo avaliatório.
Art. 12. A Avaliação de Desempenho Individual -ADI- será formalizada por meio dos seguintes instrumentos:
I – formulário eletrônico de avaliação: instrumento para aferir o desempenho do servidor por meio dos indicadores de desempenho com utilização da aplicação da autoavaliação e das avaliações previstas nos Anexos II a V deste Decreto;
II – relatório de desempenho individual: instrumento para consolidação da ADI, o qual será utilizado pelo chefe imediato no momento de conduzir o feedback com os servidores.
Seção IV
Dos Indicadores de Desempenho
Art. 13. Os indicadores de desempenho da Avaliação Comportamental previstos nos Anexos II a V deste Decreto são os seguintes:
I – assiduidade: comparecimento diário e permanência do servidor em seu local de trabalho;
II – pontualidade: cumprimento dos horários de entrada e saída;
III – liderança: capacidade de conduzir e influenciar as pessoas para o alcance dos objetivos organizacionais;
IV – planejamento: capacidade de planejar, organizar e acompanhar as atividades;
V – relacionamento interpessoal: capacidade de interagir e comunicar-se com as pessoas de forma empática e respeitosa, mantendo o ambiente de trabalho agradável e estimulante;
VI – sendo de urgência: capacidade de tomar decisões, definir prioridades na execução das atividades para alcance dos resultados dentro dos prazos estabelecidos;
VII – visão sistêmica: visualização dos processos do Órgão como um todo,a interdependência das áreas e os impactos da ação de uma área sobre as outras;
VIII – trabalho em equipe: cooperação, colaboração, confiabilidade e disponibilidade para com os demais servidores do órgão;
IX – iniciativa para ação: capacidade de se antecipar aos fatos, tendo ações preventivas no sentido de conduzir a equipe a atingir os melhores resultados;
X – resultado do trabalho: foco no resultado final a ser alcançado, independente da etapa em que está inserido no processo de trabalho;
XI – solução de problemas: identificação e escolha da alternativa mais adequada para a solução de problemas e resolução de conflitos, analisando riscos e oportunidades;
XII – conhecimento técnico: de normas e procedimentos necessários para desempenho das funções designadas;
XIII – comportamento ético: capacidade de agir com integridade, honestidade e respeito aos colegas.
§ 1º Para os indicadores previstos nos incisos I e II deste artigo o controle será feito através do relatório mensal de frequência da unidade em que o servidor estiver lotado.
§ 2º Para os indicadores previstos nos incisos III a XIII deste artigo a avaliação consistirá na atribuição de pontos às questões descritas em cada indicador de desempenho conforme os Anexos II a V deste Decreto.
Art. 14. Os indicadores de desempenho previstos no art. 13 deste Decreto serão utilizados no processo de autoavaliação, de avaliar a chefia imediata, avaliar subordinados e avaliar pares, nos termos dos Anexos II a V deste Decreto.
Art. 15. Os indicadores de desempenho da Avaliação de Produtividade, constantes do Anexo VII, referem-se à produtividade do trabalho, consistente na relação entre o volume de atividades planejadas e executadas em determinado espaço de tempo.
§ 1º As atividades planejadas a que se refere o indicador previsto no caput deste artigo são aquelas definidas no Sistema Informatizado de Avaliação de Desempenho.
§ 2º O avaliado dará ciência, antes do início do período de avaliação, das atividades esperadas e dos resultados a serem alcançados na sua Avaliação de Produtividade.
Art. 16. Os servidores deverão ser submetidos a classificação pela unidade de Gestão de Pessoas, validada pelo chefe imediato no período determinado pelo plano de ação elaborado pela Comissão de Avaliação de Desempenho Individual em um dos grupos ocupacionais, conforme Anexo I, que abarcam as funções desenvolvidas na Secretaria de Estado de Indústria e Comércio.
Parágrafo único. Para mapeamento das funções desenvolvidas pelos servidores e definição do grau de complexidade e responsabilidade com vistas ao enquadramento nos grupos ocupacionais, a Comissão de Avaliação de Desempenho Individual poderá estabelecer regras e critérios por meio de expedição de atos próprios, desde que homologados pelo Titular da Pasta.
Seção V
Da Pontuação e Fórmulas de Cálculo da Avaliação Comportamental
Art. 17. A pontuação máxima que o servidor e o empregado público poderão obter na Avaliação de Desempenho Individual é de 100 (cem) pontos, observando-se os pesos descritos nos Anexos II a V e VII deste Decreto, onde:
I – 40% (quarenta por cento) para a avaliação comportamental, prevista nos Anexos II a V;
II – 60% (sessenta por cento) para a avaliação de produtividade, prevista no Anexo VII.
Art. 18. Para fins de apuração das notas da Avaliação Comportamental, conforme competências descritas nos Anexos II a V deste Decreto, serão utilizadas as seguintes fórmulas:
I – Nota da Autoavaliação (NAA): para apurar a NAA será utilizada a multiplicação da Nota de Avaliação pelo peso atribuído à questão proposta:
NAA = 
Onde
é a nota de avaliação dada para cada item avaliado e
o peso correspondente ao item avaliado;
II – Nota da Avaliação da Chefia Imediata (NAC): para apurar a NAC será utilizada a multiplicação da Nota de Avaliação pelo peso atribuído à questão proposta:
NAC = 
Onde
é a nota de avaliação dada para cada item avaliado e
é o peso correspondente ao item avaliado;
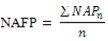
III - Nota de Avaliação Final dos Pares (NAFP): para apurar a NAFP, utilizar-se-á a média simples das Notas de Avaliação de cada um dos membros da equipe de trabalho (NAPn), a qual será apurada pela multiplicação da Nota de Avaliação e o peso atribuído à questão proposta, tendo-se as seguintes fórmulas matemáticas:
NAPn = 
Onde
é a nota de avaliação dada para cada item avaliado e
o peso correspondente ao item avaliado:
Onde,
é o número de servidores que realizaram a avaliação do servidor;
IV – Nota de Avaliação Final dos Subordinados (NAFS): para apurar a NAFS será utilizada a média simples das Notas de Avaliação que cada um dos servidores subordinados atribuiu no processo de Avaliar Chefia Imediata (NSn), a qual será apurada pela multiplicação da Nota de Avaliação e o peso atribuído à questão proposta, tendo-se as seguintes fórmulas matemáticas:
NSn = 
Onde
é a nota de avaliação dada para cada item avaliado; e
o peso correspondente ao item avaliado.
Onde
é o número de servidores subordinados a uma chefia de equipe, a qual está sendo avaliada.
V – Nota Final da Avaliação Comportamental (NFAC): para apurar a nota final da Avaliação Comportamental de cada servidor será utilizada a média ponderada das NAA, NAC, NAFS, NAFP, onde cada nota será multiplicada pelo peso conforme descrito no Anexo VI deste Decreto, assim teremos as seguintes fórmula matemáticas.

Art. 19. Para fins de apuração da Nota Final de Avaliação de Produtividade (NFAP) serão utilizados o resultado da pontuação e o peso descritos no Anexo VII deste Decreto, da Avaliação de Produtividade (AP), obtendo a média simples por semestre.

é o número de meses em que se realizou a avaliação de produtividade do servidor.
Art. 20. Para fins de apuração da Nota Final (NF) do processo de Avaliação de Desempenho Individual do servidor, será utilizada a média ponderada entre os pesos atribuídos às notas da NFAC e NFAP, tendo a seguinte fórmula:
Seção VI
Da Concessão da Gratificação de Estímulo Funcional
Art. 21. Respeitados os quantitativos de GEFs- previstos no Anexo Único das Leis nos
15.558, de 16 de janeiro de 2006 e
15.648, de 09 de maio de 2006, alteradas pela Lei nº
18.559, de 26 de junho de 2014, o servidor ou empregado público somente farão jus à Gratificação de Estímulo Funcional se obtiverem percentual mínimo de 70% (setenta por cento) de aproveitamento na ADI, cujas regras são as seguintes:
I - 70% (setenta por cento) do valor da GEF, para aqueles que obtiverem pontuação igual ou superior a 70(setenta) e inferior a 75 (setenta e cinco) na Avaliação de Desempenho Individual;
II - 80% (oitenta por cento) do valor da GEF, para aqueles que obtiverem a pontuação igual ou superior a 75 (setenta e cinco) e inferior 80 (oitenta) na Avaliação de Desempenho Individual;
III - 90% (noventa por cento) do valor da GEF, para aqueles que obtiverem a pontuação igual ou superior a 80 (oitenta) e inferior a 90 (noventa) na Avaliação de Desempenho Individual;
IV - 100% (cem por cento) do valor da GEF, para aqueles que obtiverem a pontuação igual ou superior a 90 (noventa) na Avaliação de Desempenho Individual.
§ 1º No caso de servidor efetivo ou empregado público investido em cargo de provimento em comissão será considerado para base de cálculo apenas o vencimento básico ou o salário base e, para os demais ocupantes de cargos de provimento em comissão, considerar-se-á a parcela vencimento acrescida da gratificação de representação.
§ 2º A Gratificação de Estímulo Funcional a que fizer jus o servidor, terá efeito a partir da homologação do resultado da Avaliação de Desempenho Individual.
§ 3º O resultado das Avaliações será processado no mês subsequente ao término do ciclo de apreciação, sendo que o efeito financeiro ocorrerá por 6 (seis) meses, a partir do segundo mês após o término do referido ciclo.
Art. 22. Para fins de definição do valor máximo a ser percebido por cada servidor deverá ser levado em consideração o grupo em que o servidor foi enquadrado, nos termos do art. 16 deste Decreto.
§ 1º Ficam definidos os seguintes grupos ocupacionais para aqueles que fazem jus às GEFs previstas no Anexo Único da Lei nº
15.558, de 16 de janeiro de 2006, alterada pela Lei nº
18.559, de 26 de junho de 2014:
I – Grupo I – o valor máximo será o previsto no Nível GEF-9;
II – Grupo II – o valor máximo será o previsto no Nível GEF-7;
III – Grupo III – o valor máximo será o previsto no Nível GEF-4;
IV – Grupo IV – o valor máximo será o previsto no Nível GEF-2.
§ 2º Ficam definidos os seguintes grupos ocupacionais para aqueles que fazem jus às GEFs previstas no Anexo Único da Lei nº
15.648, de 9 de maio de 2006, alterada pela Lei nº
18.559, de 26 de junho de 2014:
I – Grupo I – o valor máximo será o previsto no Nível GEF-8;
II – Grupo II – o valor máximo será o previsto no Nível GEF-6;
III – Grupo III – o valor máximo será o previsto no Nível GEF-4;
IV – Grupo IV – o valor máximo será o previsto no Nível GEF-2.
§ 3º Sempre que houver vacância da Gratificação de Estímulo Funcional, poderá ela ser utilizada para nova redistribuição, sempre obedecendo aos critérios e às notas da última Avaliação de Desempenho aplicada na Secretaria.
Art. 23. No caso de servidores aptos em número superior ao quantitativo e aos valores definidos por cada grupo, terão preferência aqueles que obtiverem as maiores notas na Avaliação de Desempenho Individual:
Parágrafo único. Na hipótese de empate, serão utilizados os seguintes critérios:
I – maior nota na questão que possui peso de destaque no grupo em que o servidor fora enquadrado, considerando-se para esse fim somente a nota da chefia imediata;
II – escolaridade do servidor;
III – maior tempo de exercício na Secretaria de Estado de Indústria e Comércio, considerando-se o período de exercício nas entidades ou nos órgãos por ela sucedidos;
IV – maior idade.
Seção VII
Das Responsabilidades
Art. 24. Os envolvidos no processo de Avaliação de Desempenho Individual – ADI- são:
I – o titular da Secretaria de Estado de Indústria e Comércio –SIC;
II – a Comissão Intersecretarial de Avaliação de Desempenho Individual - CIADI;
III – a Unidade de Gestão de Pessoas - UGP;
IV – as chefias imediatas, ou, quando for o caso, as chefias mediatas dos servidores;
V – os servidores efetivos, comissionados e os empregados públicos lotados ou à disposição da SIC.
Art. 25. Cabe ao titular da SIC:
I – designar os membros e os suplentes da Comissão de Avaliação de Desempenho Individual -CIADI- e indicar dentre eles o presidente e o vice-presidente, sendo preferencialmente o presidente o ocupante do cargo de Gerente de Gestão de Pessoas;
II – decidir em última instância recurso interposto contra o resultado da Avaliação de Desempenho Individual;
III – homologar o resultado da Avaliação de Desempenho Individual.
Art. 26. É da competência da Comissão Intersecretarial de Avaliação de Desempenho Individual - CIADI:
I – elaborar o plano de ação para a aplicação da Avaliação de Desempenho Individual;
II – orientar a Unidade de Gestão de Pessoas sobre a implementação do plano de ação;
III – acompanhar a sistemática de Avaliação de Desempenho no âmbito da SIC;
IV – auxiliar na orientação das chefias imediatas e na sensibilização dos servidores quanto ao processo de avaliação;
V - receber da Unidade de Gestão de Pessoas os relatórios dos dados finais da Avaliação de Desempenho Individual;
VI - atuar como última instância para dirimir dúvidas entre o servidor avaliado e o avaliador;
VII – apreciar e decidir recursos interpostos por servidores em face de divergências existentes no ato da avaliação funcional com objetividade e imparcialidade, no prazo máximo de 5 (cinco) dias, prorrogável por igual período, mediante motivo justificado;
VIII – requerer à Unidade de Gestão de Pessoas os documentos do processo de Avaliação de Desempenho dos servidores que interpuserem recursos;
IX - cientificar o servidor, por escrito ou eletronicamente, acerca da decisão referente ao resultado do recurso interposto e encaminhar à Unidade de Gestão de Pessoas o processo e parecer que fundamentaram a decisão;
X – encaminhar ao Titular da SIC minuta de portaria contendo o resultado final da Avaliação de Desempenho Individual para homologação;
XI - propor alterações no processo de Avaliação de Desempenho Individual, almejando melhoria contínua.
Parágrafo único. A elaboração do Plano de Ação e as propostas de alteração da ADI deverão ser realizadas com a participação da unidade de Gestão de Pessoas da SIC.
Art. 27. Cabe à Unidade de Gestão de Pessoas:
I – coordenar a aplicação dos procedimentos da ADI, orientando as chefias imediatas e os servidores avaliados na implementação do processo;
II – promover a divulgação interna sobre o sistema de Avaliação de Desempenho Individual e o seu cronograma;
III – providenciar para que a avaliação pela chefia imediata seja realizada de forma objetiva;
IV - promover treinamento dos avaliadores para viabilizar a implementação da Avaliação de Desempenho Individual;
V – viabilizar e acompanhar a implementação da Avaliação de Desempenho Individual;
VI - garantir o cumprimento do cronograma de execução do processo de Avaliação de Desempenho Individual;
VII – processar as Avaliações de Desempenho Individual e encaminhar relatórios finais para as chefias imediatas e a CIADI;
VIII – receber os formulários de relatório de desempenho individual, utilizado pela chefia imediata para dar o feedback ao servidor, para fins de arquivo em dossiê;
IX – escalonar as notas das ADIs;
X - fazer a inclusão das GEFs na folha de pagamento após a homologação.
Art. 28. Compete às chefias imediatas:
I – participar de reuniões e treinamentos relacionados ao processo da ADI, bem como orientar e sensibilizar seus liderados;
II – avaliar, com objetividade, cada servidor, considerando todo o tipo de avaliação, limitando-se à observação e análise do seu desempenho, a fim de eliminar a influência de efeitos emocionais e opiniões pessoais no respectivo processo;
III – atribuir ao avaliado uma pontuação compatível com o comportamento demonstrado;
IV – dar feedback ao servidor avaliado sobre os resultados alcançados na ADI, em até 5 (cinco) dias, após comunicado de liberação dos formulários de relatório de desempenho individual;
V – enviar à Unidade de Gestão de Pessoas os formulários de ADI, por meio físico ou informatizado, devidamente preenchidos no prazo legal estabelecido;
VI – receber recurso interposto contra a ADI e, caso não o reconsidere, encaminhá-lo à CIADI, em até 5 (cinco) dias.
Art. 29. Incumbe a cada servidor efetivo, comissionado e empregado público avaliado:
I – estar ciente de todas as orientações repassadas pela Unidade de Gestão de Pessoas e chefia imediata;
II – preencher em tempo hábil o formulário de autoavaliação com rigor ético;
III – receber feedbacks e diligenciar para o seu desenvolvimento profissional.
Seção VIII
Da Aplicação
Art. 30. A Avaliação de Desempenho Individual será aplicada com base no preenchimento de formulários disponibilizados eletronicamente, conforme os Anexos II a V, partes integrantes deste Decreto, sendo eles:
I – autoavaliação de desempenho do servidor;
II – avaliação do desempenho da chefia imediata;
III – avaliação do desempenho de pares;
IV – avaliação do desempenho dos subordinados.
§ 1º Os formulários de avaliação serão os mesmos para as avaliações previstas nos incisos I a IV do art. 30, sendo as notas calculadas nos termos do art. 18 deste Decreto.
§ 2º Os formulários deverão ser disponibilizados eletronicamente, como acesso contínuo durante o período do ciclo de apreciação, pela página eletrônica da Secretaria;
§ 3º O plano de ação contendo o cronograma deverá ser divulgado com antecedência mínima de 1 (um) mês e durante o período de preenchimento dos formulários. Todos os servidores deverão preenchê-los, ressalvados os casos previstos no § único do art. 6º.
§ 4º O servidor que estiver em efetivo exercício e não preencher a autoavaliação em tempo hábil ficará sem a pontuação correspondente ao quesito citado.
Art. 31. O formulário eletrônico para Avaliação de Produtividade ficará disponível durante todo o período do ciclo avaliatório, mantendo-o sempre atualizado quanto às atividades realizadas.
Art. 32. Ao fim do período de realização da Avaliação de Desempenho Individual será disponibilizado ao servidor acesso ao resultado de sua avaliação.
Seção IX
Dos Recursos
Art. 33. Do resultado da Avaliação de Desempenho Individual caberá recurso, devidamente justificado, no prazo de 10 (dez) dias contados a partir do comunicado oficial da unidade de gestão de pessoas de que as notas foram disponibilizadas para consulta.
Art. 34. O recurso será dirigido à Chefia imediata, a qual, se não reconsiderar a sua avaliação, no prazo de 5 (cinco) dias, encaminhá-lo-á à Comissão de Avaliação de Desempenho Individual –CIADI-, para decisão.
Art. 35. O recurso que a CIADI julgar improcedente poderá ser submetido, no prazo de 5 (cinco) dias, ao titular da SIC, que o julgará em última instância.
Parágrafo único. Se houver reconsideração, a autoridade que julgou procedente o recurso deverá enviar formalmente à unidade de gestão de pessoas o pedido fundamentado para abertura do sistema e nova avaliação do servidor, a qual deverá ocorrer no prazo máximo de 48 (quarenta e oito) horas, após abertura do sistema.
Art. 36. Finalizado o processo, a unidade de gestão de pessoas utilizará o sistema para processar o resultado final da Avaliação de Desempenho Individual, emitindo relatório com notas e GEFs a serem concedidas para fins de homologação e publicidade.
Art. 37 O recurso tramitará no máximo pelas 3 (três) instâncias administrativas abaixo relacionadas:
I - chefia imediata;
II - Comissão Intersecretarial de Avaliação de Desempenho Individual-CIADI;
III - Titular da Secretaria de Estado de Indústria e Comércio.
CAPÍTULO III
DISPOSIÇÕES FINAIS
Art. 38. Os avaliados receberão orientações da Unidade de Gestão de Pessoas quanto à aplicação dos critérios, ao período, bem como às rotinas de Avaliação de Desempenho Individual.
Art. 39. A SIC dará publicidade à homologação e publicará no portal da transparência o resultado da Avaliação de Desempenho Individual.
Parágrafo único. Ao término de cada ciclo avaliatório, a SIC deverá encaminhar à Secretaria Executiva do Conselho Estadual de Políticas Salariais e Recursos Humanos –CONSIND- os relatórios finais por meio físico e eletrônico do processo avaliatório.
Art. 40. A fim de obter informações para implementação de políticas de gestão de pessoas durante o processo de preenchimento dos formulários de Avaliação de Desempenho, também poderão ser disponibilizados outros documentos para fins de elaboração de Banco de Talentos, Pesquisa de Clima Organizacional, Diagnóstico de Necessidade de Aprendizagem, todavia, tais informações não poderão interferir na nota da Avaliação de Desempenho Individual.
Art. 41. Este Decreto entra em vigor na data de sua publicação.
PALÁCIO DO GOVERNO DO ESTADO DE GOIÁS, em Goiânia, 13 de novembro de 2014, 126o da República.
MARCONI FERREIRA PERILLO JÚNIOR
(D.O. de 17-11-2014)
- Suplemento
Este texto não substitui o publicado no
Suplemento do D.O. de 17-11-2014.
|